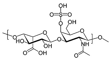
デルマタン硫酸
- 読み方
- デルマタンりゅうさん
- 英語
- Dermatan sulfate
- 意味
- ムコ多糖類の一種。類似のムコ多糖類にヒアルロン酸、コンドロイチン硫酸、ヘパリン、ヘパラン硫酸などがある。分子量数万の直鎖状の硫酸化多糖鎖である。糖鎖の大部分を占める領域はいずれの場合もウロン酸(D-グルクロン酸又はL-イズロン酸)とアミノ糖(D-ガラクトサミン又はD-グルコサミン)で構成される二糖単位が数十回繰り返した構造をしている。多くの場合プロテオグリカンとしてこれら直鎖状の多糖類がコアタンパク質に付加した形で存在している。主に皮膚、また、血管、大動脈弁、腱、肺で見出される。コラーゲンの線維形成に関与しているが、石灰漬けなど製革工程で大部分が取り除かれる。

≪デルマタン硫酸≫